Impressum

Datenschutz

Index
HH Spezial
1999
2000
2001
2002
2003
2004
2005
2006
2007
2008
2009
2010
2011
2012
2013
2014
2015
1/2015
2/2015
3/2015
4/2015
5/2015
6/2015
2016
2017
2018
2019
2020
2021
2022
2023
Korrekturen zu Heft 5/2015

Oops: Korrekturen und Nachträge zu Ausgabe 5/2015



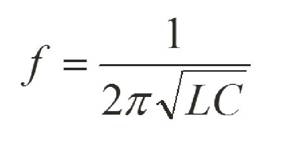
Seite 12:
In der Formel für die Berechnung der Mittenfrequenz von Sperr- und Saugkreisen (mittlere Spalte, letzte Zeile) fehlt das Wurzelzeichen. Die Formel lautet korrekt:



Seite 27:
Der Begleittext zum Frequenzweichenschaltbild des Bauvorschlags “Vision B80 FAST” erwähnt eine - grau unterlegte - Impedanzkorrektur zwecks Optimierung für den Betrieb an einer Röhrenendstufe. Das Schaltbild entählt jedoch kein solches Schaltfungselement. Aufschluss gibt die Bildunterschrift zum gemessenen Impedanz-Frequenzgang (unten rechts auf der Seite): “Die Impedanzkurve verläuft mit sehr geringer Schwankungsbreite. Auch für Röhrenverstärker ist daher keine Impedanzlinearisierung erforderlich.” Der Hinweis neben dem Schaltbild auf die Impedanzkorrektur erfolgte irrtümlich.

Seite 35:
Im Artikel über den Bauvorschlag „Mikro-Horn 2015“ fehlt das Schaltbild zur Frequenzweiche. Hier ist es:


Seite 40:
Im Artikel über den Bauvorschlag „Die Schnecke“ fehlt das Schaltbild zur Frequenzweiche. Hier ist es:


Seite 55:
Das Frequenzweichen-Schaltbild zum Bauvorschlag “Cobra-Horn RBT” zeigt den Anschluss des Hochtöners gegenphasig zu dem des Breitbänders. Laut Lageplan wären jedoch beide Chassis gleichphasig anzuschließen. Korrekt ist das Schaltbild; der Lageplan ist in diesem Punkt fehlerhaft: An Stelle von “HT+” muss im Lageplan “HT-” stehen, statt “HT-” demzufolge “HT+”.

Seite 77:
Bei der Berechnung der Nachhallzeit (Spalte 2, Zeile 3) wurde unnötigerweise die Wurzel gezogen. Korrekt gerechnet ergibt sich eine Nachhallzeit von 0,69 Sekunden.